随着开关频率和开关速度的增加,有必要采取有效的措施来保证开关电源输入输出纹波的精确测量。现在还没有测试DC/DC变换器纹波和噪声的工业标准,测试结构和方法的不同会导致严重的错误或混淆。文中描述的技术不需要特别的实验器材只需要高频电压探头和示波器,可提供有复验性的结果。输入输出纹波和噪声的精确测量固然重要,但有效的抑制尤为重要,本文分析了开关电源纹波和噪声的组成成分和利用铁氧体磁珠抑制纹波和噪声的效果。
1、纹波和噪声
SMPS的输出噪声可分为纹波和噪声。纹波就是开关电源充放电时输出电压的波动;噪声就是发生在基频平均值的尖峰,通常称为RMS噪声。纹波电压波形描述了输入输出电容器的充放电的结果,在最大负载时是极大的。
高频噪声尖峰出现在SMPS的开通和关断时刻,如图1,这个可由示波器准确的测试到。 尽管噪声的重复频率由SMPS的开关频率决定,但通常此频率包含的噪声尖峰高于开关频率;幅值的大小由SMPS的拓扑、寄生电流和PCB走线决定,尽管出现在高频,但噪声尖峰极易受探头和实验结构影响。

2、纹波和噪声的测试
纹波和噪声通常出现在DC/DC变换器的输入和输出,总噪声包含纹波和噪声。测试时首先应确保示波器获取极少的高频成分,由于高频成分可由示波器探头地形成的地线环放大,这就意味着示波器探头极短的地线可能在不正确的路线或停止时导致数百毫伏的噪声尖峰。
通常人们直接将示波器探头的地线夹夹在开关电源的地线上,另一端直接接在正电压端,这是一种不正确的方法,因为探头的地线夹获取了辐射噪声。通常最大的错误源就来自探头的地线夹,主要是由示波器探头没有屏蔽的部分引起的。信号线端子和示波器探头夹地线构成的线路环就像天线一样在工作。地线环的磁辐射导致电压曲线出现噪声,地线环的面积越大,开关过程中获取的噪声就越大。
为减小测量误差,探头应该直接放在输出电容两端。这样信号和地相连处的地线环面积就很小了。正确的操作如下:
1.去掉示波器探头的地线夹和探头夹适配器,提供金属地的直接连接通道。
2.把示波器的探头线在较大直径(20AWG)的镀锡铜线上卷绕若干圈,把锡铜线的终端焊接到输出电容的地线端。
3.示波器探头的尖端连接到输出端的输出电容上。

图2为两种不同测试方法得到的输出电压曲线。降压型变换电路工作在1.5MHz,输出电压1.8V,负载电流250mA。可以注意到绿色曲线(2)为在每一个开关时刻出现的高频噪声。而红色的曲线(3)为没有获取噪声。因此,结构和方法对准确测量是很重要的。
3、纹波和噪声的抑制
众所周知,开关电源的输入纹波和噪声,如果不滤波,有时足以干扰其它装置。因此,有必要采取适当的方法来抑制这些纹波和噪声,减少对整个电路的影响。要想有效的抑制开关电源的纹波和噪声,首先就应该知道开关电源纹波和噪声的组成成分,及哪些成分需要抑制。
3.1 基频开关输入纹波
对于一个Buck变换器,输出电感在开关周期开通期间连接到输入,而在关断期间与输入断开。当输入电容器电流没有直流成分时,电源和输出电感电流在整个开关周期基本是恒定的(忽略电感纹波电流)。直流输入电压稳定时,输入电容器在开关导通期间的充电量(I*t)必须等于电容器在开关关断期间的放电量。
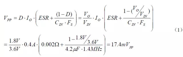
图3(图3在下面)为输入电容器的纹波电压和电流的波形,公式1则描述了电压纹波的锯齿特性。纹波的大小随输入电压波动,在占空比为50%时最大。为减少输入纹波,要么增加电容量,要么减少输入电容CIN的等效串联电阻(ESR)。陶瓷电容器通常具有非常低的ESR,但对输入电压纹波影响不大。一个0805封装10μF 10V X5R电容器在直流3.6V应用中,实际容量约为4.2μF。对于1.8V 400mA的输出负载,输入波纹电压的峰值为17.4mV(见公式1)。


另外,计算输入电容量时需要给定输入电容的ESR和纹波要求。
3.2 高频噪声
在便携式应用中,直流变换器的高频输入噪声通常可达100MHz以上。“噪声”其实是一个甚高频振铃或变换器电源部分的寄生振荡。在开关转换过程中,能量储存在感性和容性的寄生振荡中直到消失。在每个周期内,噪声都会出现在开关波形的边缘,尽管噪声频率非常高,但仅用一个典型的旁路电容器是不能使其衰减的。陶瓷电容器的阻抗频率特性曲线,如图4所示。当在100MHz或以上时,不论电容器值的大小,阻抗都呈感性并且很相似。因此,在Buck电路的输入电容上并联一个较小值的陶瓷电容器并不能有效地减少这种高频噪声。

由于陶瓷电容器在出现噪声的频段内呈感性,因此需要一些用于衰减的元件。在大多数情况下,这些元件仅会在PCB印制板的走线上产生阻抗。在62mil FR4电路板上50mil宽2盎司铜走线的阻抗典型值每英寸约为11nH。容量为1μf、封装为0603的陶瓷电容器的典型感抗约为0.5nH。在100MHz高频输入噪声时,这相当于21dB或减少1/12x。在实际应用中总是期望能得到更多的衰减,但噪声频率决定了L/R网络的衰减量。加铁氧体虽可增加高频阻抗,但可使直流损耗降到最小。
3.3 铁氧体对纹波和噪声减少
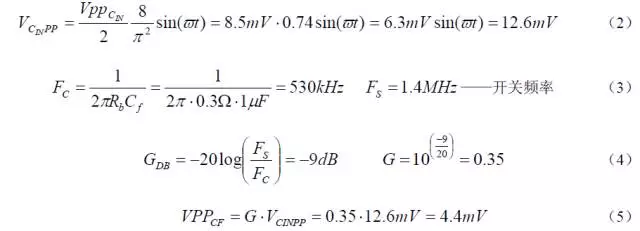
如果电路板走线的阻抗不足以作为阻性元件构成低通滤波器,可用一个小铁氧体磁珠来增加阻抗,改善对噪声的抑制。使用铁氧体磁珠可以把输入纹波衰减近似为锯齿波,并可把它降低为基频成分。利用铁氧体磁珠的直流阻抗(Rb)和滤波电容 (Cf)可以确定转折频率和在相应开关频率下的纹波衰减。铁氧体磁珠抑制纹波的典型电路(如图5)及相应的计算方法如下:


高频噪声的衰减要求测试在输入高频噪声的共振频率下铁氧体磁珠的阻抗。通常高频噪声出现在约400MHz时,而图7中在400MHz下铁氧体磁珠的阻抗约140Ω。从图4可知,滤波电容器在400MHz时相应的阻抗约为1Ω并且呈感性。这样,利用该网络就可以大概计算出在400MHz时的衰减,等效模拟电路如图6所示。


图7为一个贴片封装的铁氧体磁珠的典型阻抗频率特性。铁氧体磁珠有一个很小的直流阻抗,使它通过直流电流对系统的效率有很小的影响。它还在变换器出现高频噪声的频带内拥有很大的阻抗。从曲线中可以看出,频率在200MHz以上时阻抗大于100Ω。在应用了铁氧体磁珠的例子中,有500mA的额定电流和0.3Ω的直流阻抗,这就使附加器件的损耗可以降到最低。
、
结论
当降压型变换器与其它电路拥有共同的输入电压时,降压型变换器的输入噪声完全可以干扰其它装置。简单滤波方式可以用来降低输入噪声,改善电路的特性。在大多数情况下,共同输入电压的电路用陶瓷电容器就可以了,而在变换器输入与其他电路输入源之间连接铁氧体磁珠可以进一步衰减输入噪声。
